Seni Ragam Hias Pengangkutan Alat Permainan Rakyat Dan Alat Domestik : Seni ragam hias boleh dilihat pada badan,kelapa,ekor dan lubang congkak yang biasanya menggunakan motif.

Seni Ragam Hias Pengangkutan Alat Permainan Rakyat Dan Alat Domestik : Seni ragam hias boleh dilihat pada badan,kelapa,ekor dan lubang congkak yang biasanya menggunakan motif.. Pola hias merupakan unsur dasar yang sering digunakan sebagai acuan dalam membuat rancangan hiasan. Menyiapkan alat dan bahan menggambar ragam hias ukiran. Peralatannya bisa dipilih dengan menyesuaikan pada bahan dan teknik mematung. Seni ragam hias alat domestik • alat domestik berkaitan dengan keperluan harian kita. Jayadi, cak mus, agnina, zaini a, sjamsul hadi

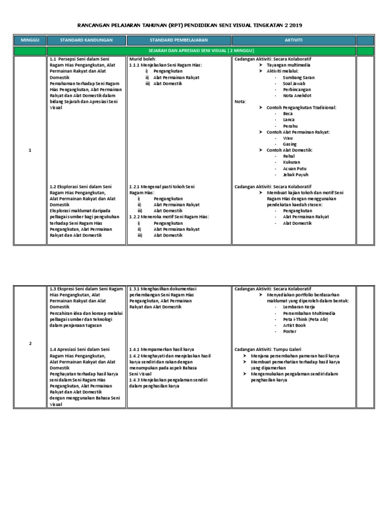
Ini kerana kewujudan teknologi seperti telefon pintar dan video games yang. Pemahaman terhadap seni ragam hias pengangkutan, alat permainan rakyat dan alat domestik dalam bidang sejarah dan apresiasi seni visual. Psv tingkatan 2 (tajuk 1): Video pembelajaran tematik keragaman suku dan budaya bangsa di indonesia 34 provinsi. Memilih bentuk ragam hias sebagai objek berkarya.

E Book Pendidikan Seni Visual Tingkatan 2
E Book Pendidikan Seni Visual Tingkatan 2 from image.slidesharecdn.com
Seni ragam hias pengangkutan, alat permainan rakyat & alat domestik. Kayu pada dasarnya dapat diberi warna dengan berbagai macam cat. Alat domestik berkaitan dengan keperluan harian terutamanya di rumah. Psv tingkatan 2 (tajuk 1): Jayadi, cak mus, agnina, zaini a, sjamsul hadi Alat ini bisa digunakan untuk membuat patung yang berbahan lunak seperti tanah liat. Bab 1 seni ragam hias pengangkutan, alat permainan rakyat dan alat domestik psv tingkatan 2. Ini kerana kewujudan teknologi seperti telefon pintar dan video games yang.

Pelajar juga perlu memgumpul maklumat berkaitan seni ragam hias pengangkutan, alat permainan rakyat dan alat domestik dan menghasilkan dokumentasi seterusnya mempamerkan.

Video pembelajaran tematik keragaman suku dan budaya bangsa di indonesia 34 provinsi. Seni ragam hias pengangkutan, alat permainan rakyat & alat domestik. Menyiapkan alat dan bahan menggambar ragam hias ukiran. Bahan dan alat menggambar ragam hias. Kemudian untuk pemilihan dan pemijahan. Pemahaman terhadap seni ragam hias pengangkutan, alat permainan rakyat dan alat domestik dalam bidang sejarah dan apresiasi seni visual. Melukis ragam hias di atas bahan kayu teknik menggambar dibuat setelah benda atau barang seni terbentuk. Mengukir berarti ragam hias dibuat dengan cara permukaan kayu dipahat dan dibentuk seperti relief. Psv tingkatan 2 bab 1 seni ragam hias pengangkutan alat permainan rakyat dan alat domestik. Psv tingkatan 2 seni ragam hias. Latihan bab 1( ragam hias pengangkutan. Diskusi daring permainan rakyat dan olahraga tradisional narasumber: Seni ragam hias alat permainan rakyat.

Alat domestik berkaitan dengan keperluan harian terutamanya di rumah. Mengukir berarti ragam hias dibuat dengan cara permukaan kayu dipahat dan dibentuk seperti relief. Seni ragam hias pengangkutan, alat permainan rakyat dan alat domestik permainan tradisional semakin dilupakan zaman. Ragam hias disebut juga ornamen, merupakan salah satu bentuk karya seni rupa yang sudah berkembang sejak zaman prasejarah. Bahan dan alat menggambar ragam hias.

Ting 2 Tajuk 1 Seni Ragam Hias Pengangkutan By Siti Rosni Nik Mohd Zaid
Ting 2 Tajuk 1 Seni Ragam Hias Pengangkutan By Siti Rosni Nik Mohd Zaid from 0701.static.prezi.com
Seni ragam hias alat domestik. Alat ini bisa digunakan untuk membuat patung yang berbahan lunak seperti tanah liat. Jayadi, cak mus, agnina, zaini a, sjamsul hadi Psv tingkatan 2 (tajuk 1): Seni ragam hias alat permainan rakyat. Ragam hias adalah susunan pola hias menggunakan motif hias dengan cara dan kaidah tertentu pada suatu ruang atau bidang sehingga menghasilkan bentuk yang menarik dan indah. Memilih bentuk ragam hias sebagai objek berkarya. Sebagai salah satu obyek dalam motif ragam hias, manusia mempunyai beberapa unsur secara teknik menggambar ragam hias.

Memilih bentuk ragam hias sebagai objek berkarya.

Sejarah dan apresiasi seni visual other contents seni cetakan tingkatan 2 by meiyengkoo. Seni ragam hias alat permainan rakyat. Bahasa indonesia yang amat luas wilayah pemakainya dan bermacam ragam penuturnya, mau tidak mau, takluk pada hukum perubahan. Ragam hias adalah susunan pola hias menggunakan motif hias dengan cara dan kaidah tertentu pada suatu ruang atau bidang sehingga menghasilkan bentuk yang menarik dan indah. Kssm tingkatan 2 (seni ragam hias pengangkutan, alat permainan rakyat dan alat domestik format cadangan rancangan 1.3.1 menghasilkan dokumentasi perkembangan seni ragam hias pengankutan, alat permainan rakyat. Psv tingkatan 2 (tajuk 1): Psv tingkatan 2 bab 1 seni ragam hias pengangkutan alat permainan rakyat dan alat domestik. Cikgu dorenda 1 month ago. Seni ragam hias pendidikan seni visual tingkatan 2. Dalam olahraga kasti, kalian akan belajar tentang pentingnya kerja sama, disiplin, dan kerja keras. Teaching resource | 1) apakah fungsi seni ragam hias pada beca atau kereta lembu. Menjelaskan jenis ragam hias pengangkutan, alat permainan rakyat dan alat domestik di malaysia dan fungsinya. Bahan dan alat menggambar ragam hias.

Menjelaskan jenis ragam hias pengangkutan, alat permainan rakyat dan alat domestik di malaysia dan fungsinya. Sejarah dan apresiasi seni visual other contents seni cetakan tingkatan 2 by meiyengkoo. .hias pengangkutan, alat permainan rakyat dan alat domestik latihan objektif dan subjektif. Ragam hias merupakan salah satu karya seni rupa yang sengaja dibuat untuk tujuan sebagai hiasan pada suatu produk agar menjadi lebih indah. Pola hias merupakan unsur dasar yang sering digunakan sebagai acuan dalam membuat rancangan hiasan.

Ejercicio De Seni Cetak Psv Ting 4 Kssmpk By Cgurosma
Ejercicio De Seni Cetak Psv Ting 4 Kssmpk By Cgurosma from files.liveworksheets.com
Seni ragam hias alat permainan rakyat. Dalam olahraga kasti, kalian akan belajar tentang pentingnya kerja sama, disiplin, dan kerja keras. Pemahaman terhadap seni ragam hias pengangkutan, alat permainan rakyat dan alat domestik dalam bidang sejarah dan apresiasi seni visual. Sebagai salah satu obyek dalam motif ragam hias, manusia mempunyai beberapa unsur secara teknik menggambar ragam hias. Bab 1 seni ragam hias pengangkutan, alat permainan rakyat dan alat domestik psv tingkatan 2. Ragam hias merupakan salah satu karya seni rupa yang sengaja dibuat untuk tujuan sebagai hiasan pada suatu produk agar menjadi lebih indah. Tap the correct answer to proceed. Ini kerana kewujudan teknologi seperti telefon pintar dan video games yang.

Bahan dan alat menggambar ragam hias.

Ragam hias disebut juga ornamen yang berasal dari kata ornare yang berarti menghiasi. Teaching resource | 1) apakah fungsi seni ragam hias pada beca atau kereta lembu. Bahasa indonesia yang amat luas wilayah pemakainya dan bermacam ragam penuturnya, mau tidak mau, takluk pada hukum perubahan. .hias pengangkutan, alat permainan rakyat dan alat domestik latihan objektif dan subjektif. Tap the correct answer to proceed. Psv tingkatan 2 (tajuk 1): Ragam hias disebut juga ornamen, merupakan salah satu bentuk karya seni rupa yang sudah berkembang sejak zaman prasejarah. Seni ragam hias pendidikan seni visual tingkatan 2. Alat domestik berkaitan dengan keperluan harian terutamanya di rumah. Melukis ragam hias di atas bahan kayu teknik menggambar dibuat setelah benda atau barang seni terbentuk. Psv tingkatan 2 seni ragam hias. Kayu pada dasarnya dapat diberi warna dengan berbagai macam cat. Pengangkutan yang sering dikaitkan dengan seni ragam hias.

Related : Seni Ragam Hias Pengangkutan Alat Permainan Rakyat Dan Alat Domestik : Seni ragam hias boleh dilihat pada badan,kelapa,ekor dan lubang congkak yang biasanya menggunakan motif..